The diagram below shows a pulley arrangement
Force, Work, Power, Energy (10)The diagram below shows a pulley arrangement:

- Copy the diagram and mark the direction of tension on each strand of the string.
- What is the velocity ratio of the arrangement?
- If the tension acting on the string is T, then what is the relationship between T and effort E?
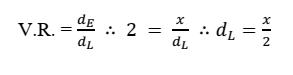
- If the free end of the string moves through a distance x, find the distance by which the load is raised.
Answer
(i)

(ii) V.R. = No. of stands supporting load = 2
(iii) E = T
(iv)
- Exam Year: 2019