What must be added to the polynomial $ 2x^3 - 3x^2 - 8^x $
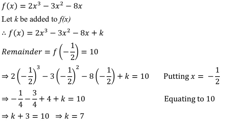
Algebra (10)What must be added to the polynomial 2𝑥3 - 3𝑥2 - 8𝑥, so that it leaves a remainder 10 when divided by 2x + 1?
Answer

    Exam Year: 
2020
What must be added to the polynomial 2𝑥3 - 3𝑥2 - 8𝑥, so that it leaves a remainder 10 when divided by 2x + 1?
