If the straight lines 3𝑥 − 5𝑦 = 7 and 4𝑥 + 𝑎𝑦 + 9 = 0 are perpendicular to one another
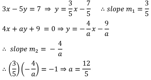
Algebra (10)If the straight lines 3𝑥 - 5𝑦 = 7 and 4𝑥 + 𝑎𝑦 + 9 = 0 are perpendicular to one another, find the value of a
Answer

    Exam Year: 
2018
If the straight lines 3𝑥 - 5𝑦 = 7 and 4𝑥 + 𝑎𝑦 + 9 = 0 are perpendicular to one another, find the value of a
