If $ A^2 = 3I $, where I is the identity matrix of order 2, find x and y
Algebra (10)
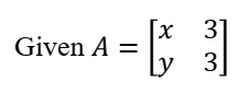
If A2 = 3I, where I is the identity matrix of order 2, find x and y.
Answer


    Exam Year: 
2020

If A2 = 3I, where I is the identity matrix of order 2, find x and y.

