ICSE Questions
  • Home
  • Class 10
Home Class 10

(cosec 𝜃 − sin 𝜃)(sec 𝜃 − cos 𝜃)(tan 𝜃 + cot 𝜃) = 1

Trigonometry (10)

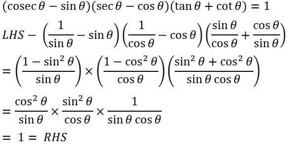
Prove that: (cosec 𝜃 - sin 𝜃)(sec 𝜃 - cos 𝜃)(tan 𝜃 + cot 𝜃) = 1

Answer

Exam Year: 2019
  1. Home
  2. Class 10
  3. Class 10 Maths
  4. (cosec 𝜃 − sin 𝜃)(sec 𝜃 − cos 𝜃)(tan 𝜃 + cot 𝜃) = 1
Recent Updates
  • State any two causes that led to the Civil Disobedience Movement in 1930
  • State any two objectives of the Muslim League
  • Name the nationalist who said: Swaraj is my birthright and I shall have it
  • Name the two Presidents under whom the first two sessions
  • Mention any two economic factors responsible for the growth of nationalism in India
  • In each set of terms given below, there is an odd one and cannot be grouped
  • The diagram below shows a loop of wire carrying current I:
  • So the little girl walked about the streets on her naked feet
Class 10
  • History
  • Civics
  • Geography
  • Physics
  • Chemistry
  • Biology
  • Maths
  • English
Resources
  • CISCE Website
  • Class 10 Topics
Related Questions
  • Solve for x the quadratic equation $ x^2 - 4x - 8 = 0 $
  • Mr. Bedi visits the market and buys the following articles
  • A man invests ₹22,500 in ₹50 shares available at 10% discount
  • Take 1 cm = 1 unit on both x and y axes
  • Using a graph paper draw a histogram for the given distribution